Jorge Zarate Rodriguez, MD
Colon and Rectal Surgery Fellow
Icahn School of Medicine at Mt Sinai
Icahn School of Medicine at Mount Sinai
New York, NY, United States
All of the relevant financial relationships listed below have been mitigated.
This individual has no financial relationships with ineligible companies.
Sohee K. Kim, MD Candidate
Contributing Author
Hackensack Meridian School of Medicine
NORWOOD, New Jersey, United States
Disclosure information not submitted.
Muyoung M. Kim, n/a
Contributing Author
Other
Norwood, New Jersey, United States
Disclosure information not submitted.
Eunvee A. Kim, Undergraduate Student
Contributing Author
Stony Brook University
Norwood, New Jersey, United States
Disclosure information not submitted.
Jared S. Matson, MD
Colon and Rectal Surgery Fellow
Icahn School of Medicine at Mount Sinai
Icahn School of Medicine at Mount Sinai
New York, NY, United States
All of the relevant financial relationships listed below have been mitigated.
This individual has no financial relationships with ineligible companies.
Josh Appel, MD, MSc, FRCSC
Fellow
Icahn School of Medicine at Mount Sinai Hospital
Icahn School of Medicine at Mount Sinai
New York, NY, United States
Disclosure information not submitted.
Alexander Bulanov, DO
Assistant Professor
Mount Sinai Hospital - Colorectal Surgery
New York, New York, United States
Disclosure information not submitted.
Sanghyun A. Kim, n/a
Associate Professor of Surgery
The Mount Sinai Hospital
New Yrok, New York, United States
Disclosure information not submitted.
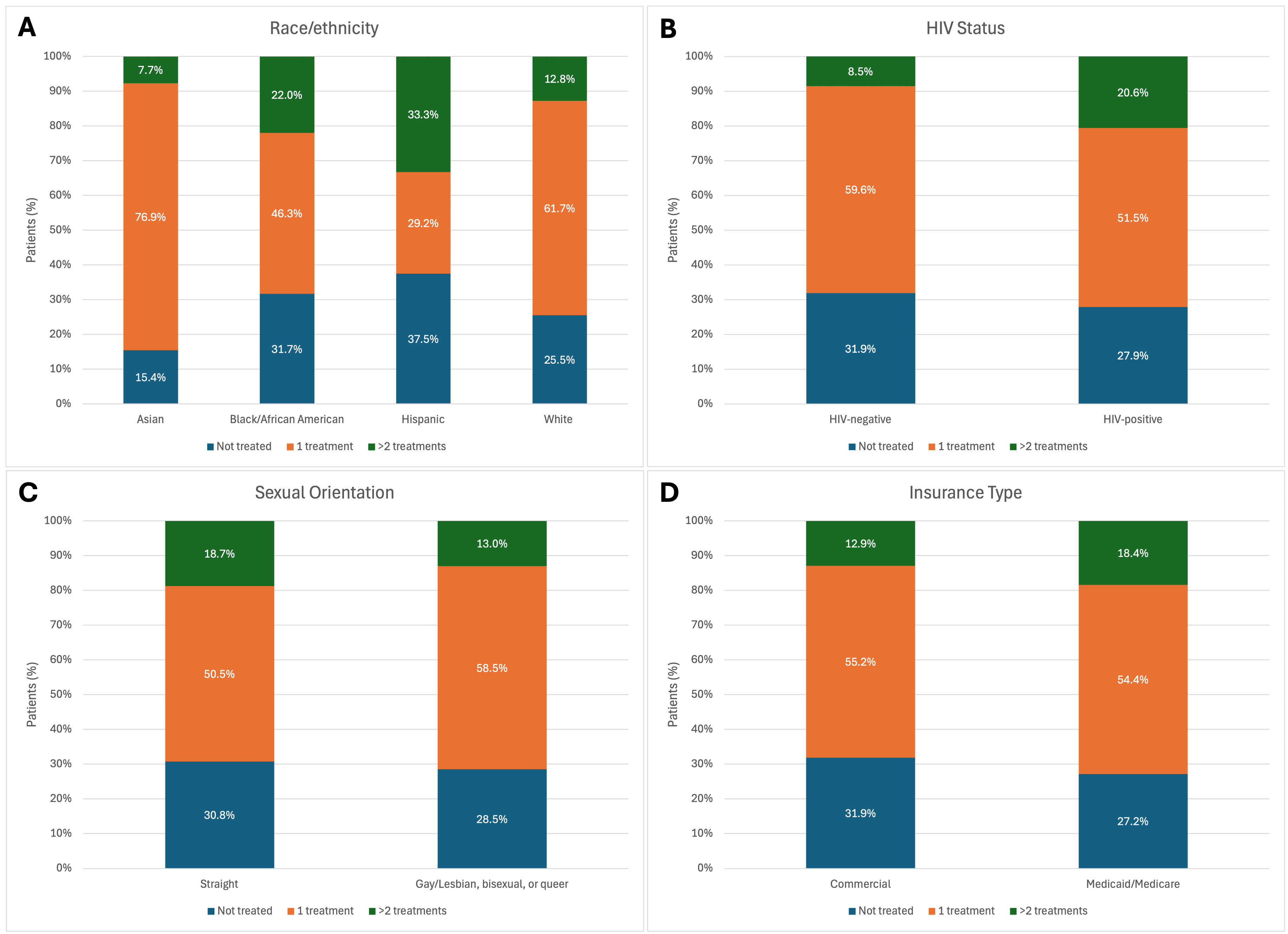
Persistence of anal dysplasia by race/ethnicity (A), HIV status (B), sexual orientation (C), and insurance (D).