Anthony Loria, MD
Resident
University of Rochester Medical Center
University of Rochester Medical Center
Rochester, NY, United States
Disclosure information not submitted.
Fernando AB Colugnati, n/a
Associate Professor
School of Medicine/ Universidade Federal de Juiz de Fora
Juiz de Fora, Minas Gerais, Brazil
Disclosure information not submitted.
Samuel H. Lai, MD
Resident
University of Colorado School of Medicine, Department of Surgery
University of Colorado School of Medicine
Aurora, CO, United States
Disclosure information not submitted.
Megan Boyer, MD (she/her/hers)
General Surgery Resident
University of Rochester
University of Rochester
Rochester, NY, United States
Disclosure information not submitted.
Jon D. Vogel, MD
Professor
University of Colorado School of Medicine
University of Colorado
Aurora, Colorado, United States
All of the relevant financial relationships listed below have been mitigated.
This individual has no financial relationships with ineligible companies.
Wolfgang Gaertner, MD, MSc, MBA
Professor and Chief, Colon & Rectal Surgery
University of Minnesota
University of Minnesota
Minneapolis, MN, United States
All of the relevant financial relationships listed below have been mitigated.
This individual has no relevant relationships with ineligible companies.
John RT Monson, MD
Attending
Northwell
Northwell Health
New York, New York, United States
Disclosure information not submitted.
Robert Cleary
Disclosure information not submitted.
Fergal Fleming, MD MPH FRCSI FACS
Associate Professor of Surgery and Oncology
University of Rochester Medical Center
University of Rochester Medical Center
Rochester, NY, United States
All of the relevant financial relationships listed below have been mitigated.
This individual has no relevant relationships with ineligible companies.
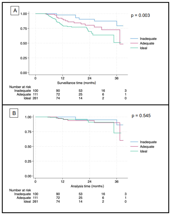
Probability of ideal (A) and adequate (B) surveillance by institutional volume of patients with non-operative management
Time to detection of local regrowth (A) and distant metastasis (B) by intensity of locoregional surveillance